高耐薬透明ABS樹脂トヨラック™950 X02

高耐薬透明ABS樹脂 トヨラック™950 X02は、耐薬品性・透明性が要求される材料としてのニーズにお応えするため最適設計された材料です。

特長

⾼耐薬透明ABS樹脂 トヨラック™950 X02は、本来の透明ABS樹脂の特徴である低⽐重、良成形加⼯性に加え、付加価値の⾼い耐薬品性、透明性を付与したバランスの優れたグレードです。

1.耐薬品性

樹脂の割れは、応力集中部位に薬品が浸透することにより起こります。トヨラック™950 X02は、高分子量化による「分子同士の絡まり」と、極性基の導入による「分子間力」を利用して薬品の浸透を抑制する設計がされています。

特に、成形品には、TD(Transverse Direction)とMD(Machine Direction)が存在し、TDの耐薬品性が弱いとされています。トヨラック™950 X02は、この技術を用いてTDの耐薬品性を向上させ、大きく耐薬品性を改善しています。トヨラック™950 X02は、一般的に耐薬品性の良いとされるPET-G同等の耐薬品性を有する唯一のグレードで、PET-G比低比重によるコストダウン、成形不良率の削減が期待できます。

(1)950 X02の耐薬品性

(2)耐薬品性の判断基準

① TD方向の耐薬品性の判断基準
¼楕円治具耐薬試験(図)を行い、治具に試験片がセットされた状態でのクラック発生位置(←青矢印)により4段階(☓、△、◯、◎)で優劣を判断。

¼楕円治具耐薬試験法
※先端に向かって、徐々に歪みの大きくなる1/4楕円治具に板状の試験片を固定した上で薬品を塗布します。一定時間放置後、どの位置にクラックが生じるかによって、耐薬品性を判断します。より歪みの小さい位置にクラックが生じる程、劣位と評価します。
TD方向耐薬品性試験結果

② MD方向の耐薬品性の判断基準
¼楕円治具耐薬試験(図)を行った試験片を強制的に曲げ、試験片表面に発生したクラックの位置から臨界歪み値(ε)を算出。臨界歪み値はクラックの発生位置により算出され、値が大きいほど耐薬品性が優れることを表す。

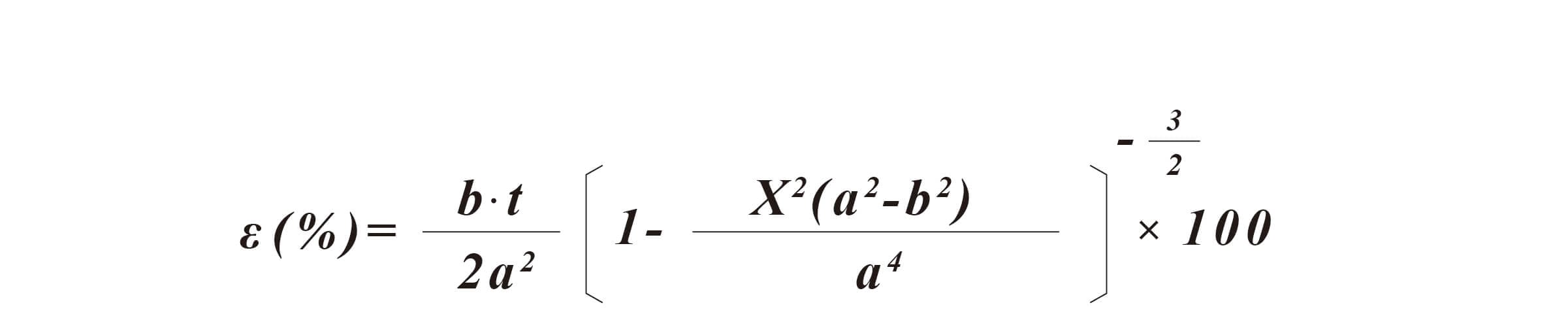
式1 臨界歪みの計算式

ε (%):臨界歪み、a (mm):治具の長軸(127mm)

b (mm):治具の短軸(38mm)、t (mm):試験片の厚み(1.5mm)

X (mm):クラック発生箇所からの距離

2.透明性

トヨラック™950 X02は、ゴムとマトリックスの屈折率を一致させ、屈折率の分布を狭くすることにより、優れた透明性を発現致します。

用途

高耐薬透明ABS樹脂 トヨラック™950 X02は耐薬品性、透明性が必要とされる、家電製品に好適な材料として、既に国内外の家電メーカーにおいて、採用が進んでいます。

  • ドラム型洗濯機窓蓋
  • ロボットクリーナー部品
  • 電動歯ブラシ筐体